销售热线

首页 / 新闻中心 / 产品知识 / 圆锥破碎机机架的设计与计算方法

圆锥破碎机机架的设计与计算方法

作者:天博机器时间:2013-06-09更新时间:2018-10-11

如果您想了解我们的产品,可以随时拨打我公司的销售热线或点击下方按钮在线咨询价格!
立即拨打电话享更多优惠:0371-67772626

在线咨询

机架是圆锥破碎机零部件的安装基础,在设计机架时,要保证它有足够的强度、刚度和几何尺寸的精确度,才能保证圆锥破碎机各零部件的正常运转,使破碎机达到设计的技术要求。

圆锥破碎机

天博圆锥破碎机延续高破碎量高配置路线,它设计时,要求机架套筒的中线与上部法兰的水平面或与球面轴承的水平面之间的垂直度,以及套筒的中线与传动轴架中线之间的垂直度在0.1~0.3mm之间。设计机架内部筋板,要特别注意不要影响排矿。

机架一般都是铸钢材料制成的,机架的几何尺寸可参考已有实际资料确定。在保证强度、刚度的条件下,应尽量减轻它的质量。设计时,也要听取长期使用破碎机用户的意见和经验,对存在的问题在新设计中应得到解决,使新设计的破碎机在原有基础上有所改进、创新和发展。

根据对中部静强度和刚度分析可知:对连续给矿的工况,在竖肋外表面与底部法兰的交点处产生的应力也很大。对有过大矿块的工况,在上部法兰附近产生的应力很大,此处是危险点,其他部位应力比较低。因此,设计破碎机中部机架可减小或去掉机架竖肋和环肋。

圆锥破碎机

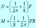
机架法兰处危险截面的强度可采用简化计算方法计算。经对下架体内力的分析,可求得内套的轴力N和弯矩M为:…………①

对下架体(外壳)的轴力N和弯矩M为:…………②

式①和②中,F是破碎力,计算时应取其值;rm是内套壁厚的中性半径;R是筒体的中性半径。根据轴力N和弯矩M可求得应力,并应小于许用应力值。圆锥破碎机机架材质一般都采用铸钢件。

此外,应有限元法来分析机架各部应力的分布于大小,之后再进行试验验证,这样可以很准确地确定机架合理的结构尺寸,从而可能在保证机架有可靠的强度和刚度条件下,减轻它的质量。

在线留言

姓名:

电话:

需求: