销售热线

首页 / 新闻中心 / 行业新闻 / 超临界转速运转

超临界转速运转

作者:天博机器时间:2010-10-04更新时间:2010-10-04

如果您想了解我们的产品,可以随时拨打我公司的销售热线或点击下方按钮在线咨询价格!
立即拨打电话享更多优惠:0371-67772626

在线咨询

前面导出临界转数公式时,曾设摩擦力与钢球重量的切向分力相等,钢球没有滑动。在采用不平滑衬板和装球率占40-50%时,这种假设是符合实际的。倘若采用摩擦系数小的平滑衬板,又减少装球量使正压力降低,那么,摩擦力就小到不足以平衡球荷的切向分力,钢球于是有了滑动。在这种情况下,尽管磨机的转速超过用公式算得的nc好几倍,因为钢球有剧烈的滑下运动,它还是不会离心化。这就是磨机超临界转速运转的实质和必要的条件。

球磨机

R.T. 胡基在六十年代的研究指出,在适当的条件下,磨机的转速超过nc值的20倍,钢球还不会离心化,仍然有磨矿效果。超临界转速运转不仅在理论上突破了公式的局限性,而且可以提高磨机的处理能力。生产实践指出,如果应用恰当,超临界转速运转可以提高磨机的生产力,虽然功率耗相应地增加,但比功率耗(即千瓦·时/吨)常常是降低的,如下表中的例子。磨机的转速和装球量是影响磨机生产率的两个关键性的因素。超过nc值运转固然可以提高磨机生产率,但要求减少装球量,而减少装球量又会使生产率降低。所以不能片面地采用大幅度提高转速及大幅度减少装球量的办法,这反而会使生产率下降。当装球率减少到25%以下,即使将转速率提高到145%,生产率也达不到装球率为35-40%,转速率为110-120%的。并且转速太高,磨机振动很厉害,也会造成危险。

表3-2-1

要把磨机的转速提高到超过临界值,必须考虑原用的电动机的功率是否充足,传动部件的强度是不是够。磨机转速提高后,生产率加大,和磨机构成闭路的分级机的负荷也增加,必须采取措施提高分级机的生产能力和效率,要不然由于分级机的限制,效果未必好。超临界转速后,钢球与衬板之间和钢球与钢球之间有强烈的相对运动,磨损很厉害。为了解决这个问题,有用合金钢制衬板和钢球的,也有采用矿石自衬自磨的。试验研究和生产实践都指出:用普通磨机在超临界转速下进行矿石自磨,它的生产率可以达到在nc以内用钢球磨矿的。衬板为特殊形状,由矿石自己去填补成一层壳,以便节约钢材。

由公式(2-7)可以得到

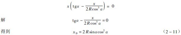
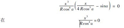
确定B点的坐标:B点是钢球抛落的终点,也是它开始圆运动之点,所以它的坐标xb和yb即公式(2-6)和(2-7)联立时的公解。将公式(2-7)中的y代入公式(2-6)中,然后逐步化简,得到

中,它的三个根x1=x2=x3=0,即两轨这相交的坐标原点A 。在 中,第四个根即落回点B的x坐标,即 将xb的值代入公式(2-7),求得 将公式(2-12)和(2-11)比较,可以看出 将公式(2-12)及(2-13)和公式(2-8)及(2-9)比较,可以看出 在已知脱离角a的情况下,可以根据以上各式算出各特殊点的坐标,坐作抛物落下运动时的抛物线即能准确地画出。如果要用到以O为原点的XOY系来表示落回点B的坐标,根据移轴规则(新坐标等于旧坐标减新原点的旧坐标),将公式(2-12)和(2-13)改写成

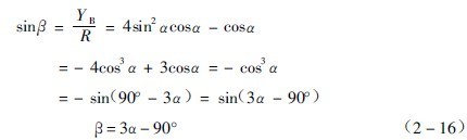
而落回角(、钢球中心与磨机中心的连线和X轴的夹角)可以求出为

有的研究者如高伍(Gow)认为,每一个球到达脱离点之前,都受到它后面的球上升时的推力。因此上升得较脱离点高,抛物落下也较戴维斯理论算出的远。虽高伍根据这种方法提出了另外的计算公式,但尚未获公认,而戴维斯理论与实际资料仍然大致符合。

在线留言

姓名:

电话:

需求: