销售热线

首页 / 新闻中心 / 行业新闻 / 决定磨机转速的方法

决定磨机转速的方法

作者:天博机器时间:2010-10-06更新时间:2010-10-06

如果您想了解我们的产品,可以随时拨打我公司的销售热线或点击下方按钮在线咨询价格!
立即拨打电话享更多优惠:0371-67772626

在线咨询

在抛落式工作的磨机中,磨矿作用主要来自钢球到达落回点的动能。此动能的大小,与钢球的落下高度(H)有关,而钢球的落下高度又决定于磨机的转速。根据前面的论述,必然可从钢球落下高度来决定磨机的合适转速。照此理,将公式取导数,并令它等于零,就可以求出使钢球有抛物落下高度时的脱离角,再从它找到相应的转速。

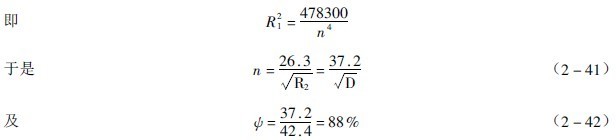
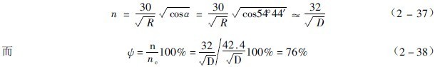
此值与前面讲的v1=0(即vp=vn)时的脱离角很接近。 应用公式(2-36)来决定转速时,有两种方法。第一种用外层球有落下高度来定转速。若取外层球的半径即磨机的内半径,由公式得到 这种办法只考虑外层球处于适宜状态,其他层球则未必处于适宜状态,装球越多,不适宜的球层也越多,故不是合理的办法。求得的转速率较低,不能保证球荷作抛落式工作,现在转速较低的磨机采用此法。第二种用球荷的回转半径与脱离角的关系来推算。设想全部球荷的质量集中在某一层球,此层球可以代表全部球荷,它的球层半径(R0)就是全部球荷绕磨机中心(O)作圆运动的回转半径。根据扇形对O点的极转动惯量中径的求法,可以得到

当此层球抛物落下高度时,a0=,从而

这种方法比前一种较合理,因为考虑了全部球荷。生产中转速较高的磨机,采用这种方法。

在线留言

姓名:

电话:

需求: