销售热线

首页 / 新闻中心 / 行业新闻 / 砾磨的给矿及砾磨介质

砾磨的给矿及砾磨介质

作者:天博机器时间:2010-10-09更新时间:2010-10-09

如果您想了解我们的产品,可以随时拨打我公司的销售热线或点击下方按钮在线咨询价格!
立即拨打电话享更多优惠:0371-67772626

在线咨询

砾磨机的给矿粒度依砾磨在整个工艺流程中所起的作用而不同。如用于棒磨机后的二次磨矿,给矿粒度一般是0.8-0.2毫米;若用于自磨机后的二次磨矿,则给矿粒度一般在0.30-0.075毫米左右,用于一次磨矿时,给矿是细碎后的产物,其粒度为10-22毫米。

球磨机

砾磨用的介质简称砾介。砾介的尺寸是依据砾介的重量与普通钢球磨矿介质的重量相等的原则而决定的。那么,也就是说,砾介的大小与矿石的比重成反比。如第二段球磨通常采用重约140克、直径为35毫米的钢球,若矿石的比重分别为2.8和4.0时,则相应的砾介直径应分别为49和43毫米。经验表明,为了进行有效地磨矿,要求砾介的粒度范围尽可能的窄,以利于从磨料中除去小颗粒砾介。但砾介的粒度范围将取决于砾介的耗量,砾介的耗量越少,粒级范围可能越窄,砾介的耗量大,则无法达到这一要求。此外,砾介的粒度范围还和砾介的供给途径有关。不同情况下的砾介粒度的大致范围如下:粗磨时,砾介的粒级范围为+% , )’% 毫米。细磨时,如砾介来自上段自磨机中,则粒级范围为80-250毫米;如砾介从破碎产物筛分而得,则粒级范围一般为40-80毫米,若砾介消耗量大,粒级范围可扩大到30-100毫米。

砾介的供给方式有两种:通常是从中碎产物中筛出,若砾介耗量大,还可从粗碎产物中部分筛出;另一种方式是取自自磨机,办法是在自磨机的每块格子板上开有2-3个砾石孔,磨机的排矿经筛分后,筛下粒级返回自磨机,筛上粒级作为第二段砾磨的砾介。后一种情况下所得的砾介呈圆形且较坚硬,是较为理想的砾介。

砾介的消耗与砾的物理性质、机械性质、砾介的粒度、磨矿浓度、磨机的直径、衬板的结构及磨机的转速率等有密切的关系。抗磨性和冲击强度差的矿石,自然会使砾介的消耗量大,并在一定的情况下,可能使第二段砾磨成为不可能。砾介的粒级愈粗,砾介的消耗量愈大。如某矿第一段砾磨机的砾介粒度为80-250毫米时,砾介的消耗量为47公斤/千瓦时;而在第二段砾磨机的砾介粒度为40-80毫米时,砾石耗量为17公斤/千瓦时。磨矿浓度愈低,砾介间的接触愈多,砾介磨损也愈快。尤其值得注意的是,砾介的消耗随磨机直径的加大而迅速增加,如图3-3-16所示,砾石耗量是磨机直径的函数,当磨机直径增加50%时,砾石的消耗量加倍。此外,砾介的消耗量随磨机转速率的增加而增加。提升衬板越高,砾介耗量也越大。如有一硫化矿的第二砾磨,装有80毫米高的新橡胶提升板,与低波纹形剖面已磨损的衬板相比,前者的砾石耗量为后者的两倍。

矿石的比重可能由贫矿的2.8变化到重硫化矿的5,所以砾磨的浓度表示以固体体积百分数计算更有意义。矿浆浓度低,则粘性小,砾介在矿浆中的运动自由度大,砾介的有效比重大,磨矿作用强,因而磨矿效率高;不过砾介相互间直接接触有所增加,因而砾介的耗量也大些。在矿浆浓度高的情况下,矿浆粘附于砾介上,砾介耗量可减少;但砾介的有效比重减轻,磨矿作用减弱,致使磨矿效率降低。故砾磨的磨矿浓度一般要比球磨低5-10%。如球磨中为使钢球消耗小,磨矿浓度按体积百分数计算应保持45-50%左右,则砾磨矿浆浓度一般保持在35-45%(重量百分数60-70%)左右为宜。此外,砾磨浓度的确定还取决于砾介的大小和重量,第一段砾磨的矿浆浓度应比第二段砾磨的矿浆浓度高。

砾磨的产品粒度根据矿物的解理要求而定,其细度可达95%-325目。而且发现,磨矿粒度越细,单位处理能力和球磨机越近似。如磨到75-85%-0.074毫米时,其单位处理能力比球磨机降低25-35%。在磨到95%-0.074毫米时仅降低10%。在磨到90-95%-0.05毫米时单位处理能力几乎相等。故砾磨用于细磨时经济。

球磨机

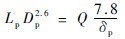
据克罗克证实,同样重量的砾石和钢球在同样条件下具有同等的磨矿能力,而砾磨的处理能力又与砾介的比重成正比,故砾磨机的生产率可按球磨机的生产率进行推算。砾磨机所需规格按下式计算:

式中:Lp,Dp———分别为砾磨机的长度与直径,米;

Q———球磨机的处理能力,吨/时;

———砾介比重。

因此,当用球磨机改装成砾磨机时,为了保持处理能力不变,磨机的容积必须按比例增加,以适应装入的砾介重量与改装前装入的钢球重量相等。实践证明,一般需增加容积25-40%左右。此外,砾磨机的处理能力与排矿型式有关。格子型砾磨机的处理能力比溢流型砾磨机高40%。榜德认为球磨机改为砾磨机时为了保持同样处理能力,其容积需增加为球磨机的 倍。式中f为系数,对溢流型球磨机取f=1.3,对格子型球磨机取f=1.1。

在线留言

姓名:

电话:

需求: