销售热线

首页 / 新闻中心 / 产品知识 / 矿石分级技术——颗粒在运动介质中的自由沉降

矿石分级技术——颗粒在运动介质中的自由沉降

作者:天博机器时间:2010-10-09更新时间:2010-10-09

如果您想了解我们的产品,可以随时拨打我公司的销售热线或点击下方按钮在线咨询价格!
立即拨打电话享更多优惠:0371-67772626

在线咨询

粒群在介质中沉降时,若容积浓度小于和等于0.03或3%,颗粒受到的干涉作用很小,可忽略不计,此时的沉降视为自由沉降。容积浓度大于0.03时的沉降为干涉沉降,且浓度越大,干涉作用越强。

在匀速垂直上升介质流中,颗粒自由沉降的末速度va为:

式中 v0———颗粒在静止介质中自由沉降的末速度;

ua———上升介质流速度。

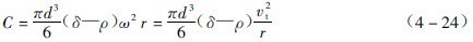
当v0>ua时,va为正值,颗粒向下沉降;在v0<ua时,颗粒向上运动;在v0=ua时,v0=0,颗粒呈悬浮状态。在旋转运动的介质流中,处于其中的矿粒要受到离心力C 的作用,其值为:

式中 C———离心力,N;

w———颗粒随介质作回转运动的角速度,rad/s;

r———颗粒的回转半径,m;

v1———颗粒回转的切线速度,m/s。

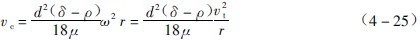
在离心力作用下,颗粒将沿着离心力方向运动,此时,颗粒要受到介质阻力。当离力与介质阻力相平衡时,颗粒将以匀速一直沿着离力方向沉降。若在回转半径方向上,介质绕颗粒作层流运动,或Re0.5,则离心沉降速度vc为:

如介质绕颗粒流过为其它流态,或Re>0.5中相应的介质阻力R,在R=C时,导出各情况下的离心沉降速度。

在线留言

姓名:

电话:

需求: