销售热线

首页 / 新闻中心 / 行业新闻 / 颗粒在介质中的干涉沉降——颗粒沉降的等降比

颗粒在介质中的干涉沉降——颗粒沉降的等降比

作者:天博机器时间:2010-10-09更新时间:2010-10-09

如果您想了解我们的产品,可以随时拨打我公司的销售热线或点击下方按钮在线咨询价格!
立即拨打电话享更多优惠:0371-67772626

在线咨询

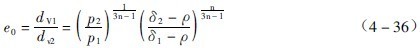
小密度颗粒的粒度与沉降末速度相等的大密度颗粒粒度之比值,称为颗粒的等降比,其值大于1。可以根据沉降速度相等的关系求出。自由沉降时,在一定的雷诺数范围内,等降比e0为一常数,即:

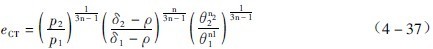
干涉沉降等降比ect,按均匀粒群计,若属多种性质不同的矿粒一起在介质中作干涉沉降,因目前还没有计算这种情况下干涉沉降速度的公式,干涉沉降等降比不能求出。

在线留言

姓名:

电话:

需求: